Hydraulischer Widder: Wer hat ihn erfunden? Wie funktioniert er?
Der Hydraulische Widder nutzt Schwerkraft, um Wasser effizient ohne Strom zu pumpen. Erfahren Sie mehr über seine Funktionsweise, Einsatzmöglichkeiten und Geschichte.
Mit einem Hydraulischen Widder lässt sich ohne Strom Wasser von einem niedrigeren auf ein höheres Niveau pumpen.
Foto: PantherMedia / Morphart
In einer Welt, in der Nachhaltigkeit und Energieeffizienz immer wichtiger werden, rückt der Hydraulische Widder wieder in den Fokus. Die bemerkenswerte Maschine pumpt Wasser ohne Strom, nutzt dafür lediglich die Schwerkraft und das Gefälle. Entwickelt hat sie einer der Montgolfier-Brüder, die zusammen den weitaus bekannteren Heißluftballon erfunden haben. Wir schauen uns an, wie der Hydraulische Widder funktioniert, wie effizient er ist und wo er überall zum Einsatz kommt.
Inhaltsverzeichnis
Wie funktioniert der Hydraulische Widder?
Der Hydraulische Widder ist eine bemerkenswerte Wasserpumpe, die eine kleine Wassermenge auf große Höhen befördert. Sie nutzt das Gefälle einer großen Wassermenge, die aus geringer Höhe herabfließt, um den erforderlichen Druck zu erzeugen.
Anstatt vieler Räder und Gestänge, wie es bei einem Wasserrad der Fall wäre, benötigt der Hydraulische Widder nur zwei bewegliche Teile: zwei Ventile. Diese arbeiten abwechselnd und automatisch, Tag und Nacht, Sommer wie Winter. So lange Wasser fließt, pumpt der Widder kontinuierlich.
Funktionsweise im Detail
Schauen wir uns die Funktionsweise des Hydraulischen Widders anhand einer Schemazeichnung genauer an: Links befindet sich der Behälter „a“, aus dem ein Rohr nach unten führt. Dieser Behälter repräsentiert das niedrige Wasserniveau, und das Rohr „b“ liefert die nötige Antriebsenergie durch ein geringes Gefälle. Rechts unten sind zwei Ventile, das Steigventil „c“ und das Sperrventil „v“. Das Steigventil öffnet sich nur nach oben, während das Sperrventil nur nach unten öffnet. Diese Ventile kann man sich als einfache Klappen vorstellen, die durch ihr Eigengewicht gesteuert werden.
Ablauf des Pumpvorgangs:
- Start des Wasserflusses: Wasser strömt durch das Rohr „b“ und öffnet das Sperrventil „v“, sodass das Wasser austritt.
- Ventilbewegung: Der austretende Wasserstrom drückt das Sperrventil nach oben, wodurch es sich schließt.
- Druckstoß: Das Schließen des Sperrventils erzeugt einen Druckstoß, da Wasser sich nicht komprimieren lässt.
- Steigventil öffnet: Der Druckstoß öffnet das Steigventil „c“, sodass Wasser in den Windkessel „r“ strömt.
- Kompression und Pumpen: Im Windkessel befindet sich Luft, die komprimiert wird und Druck auf das Wasser im Steigrohr „d“ ausübt, wodurch es nach oben zu „e“ gepumpt wird.
- Zykluswiederholung: Wenn der Druck im Windkessel groß genug ist, schließt sich das Steigventil, das Sperrventil öffnet sich wieder und der Prozess beginnt von vorne.
Dieser Kreislauf kann über Jahrzehnte ohne Unterbrechung laufen, solange Wasser fließt.

Schemazeichnung eines Hydraulischen Widders.
Foto: Dominik Hochwarth
Übertrag auf die reale Welt
Die Schemazeichnung vermittelt ein vereinfachtes Bild des Hydraulischen Widders, das leicht als Spielerei missverstanden werden kann. Dies liegt an den stark verkleinerten Abmessungen zur besseren Erklärung. In der Praxis wird das Rohr „b“ mehrere Meter lang bachaufwärts verlegt. Das Steigrohr „d“ kann hingegen mehrere Hundert Meter lang sein und führt in der Regel nicht senkrecht nach oben, sondern verläuft als PVC-Schlauchleitung, um Wasser aus einem Tal zum Beispiel zu einem höher gelegenen Gehöft zu transportieren.
Geschichte des Hydraulischen Widders
Der Begriff „Hydraulischer Widder“ ist die direkte Übersetzung des französischen „bélier hydraulique“. „Bélier“ bedeutet „Widder“, und das Wort „hydraulique“ leitet sich vom Griechischen „hydraulikos“ ab, was „Wasser“ und „Pfeife“ bedeutet. Dies bezieht sich auf die antike „Wasserorgel“, die etwa 180 v. Chr. von Ktesibios von Alexandria konstruiert wurde. Diese Orgel nutzte einen Windkessel, um einen konstanten Luftdruck für die Orgelpfeifen zu erzeugen, ähnlich wie heutige Orgeln.
Die Technologie der „Wasserorgel“ wurde in Heron von Alexandrias Werk „Pneumatika“ beschrieben. Heron lebte wahrscheinlich in der zweiten Hälfte des ersten Jahrhunderts n. Chr. und dokumentierte zahlreiche Geräte, von denen viele eher der Unterhaltung als praktischen Zwecken dienten.
Entwicklung des Hydraulischen Widders
Es dauerte fast 2000 Jahre von der hydraulischen Orgel bis zur Erfindung des Hydraulischen Widders. Joseph Michel Montgolfier, der ältere der beiden Brüder, die den Heißluftballon erfanden, entwickelte den Hydraulischen Widder im Jahr 1797. Diese „Montgolfier’sche Wassermaschine“ wurde zur effizienten Wasserförderung ohne den Einsatz von externen Energiequellen genutzt.
Joseph von Baader installierte den ersten Widder in Deutschland zu Beginn des 19. Jahrhunderts auf dem Landsitz des Grafen Montgelas in Bogenhausen bei München. In den USA erhielt J. Cerneau 1809 das erste Patent für den Widder, was zu einem starken Anstieg des Interesses und der Produktion führte.
Verbreitung und Patente
Johann Georg Schlumpf war einer der ersten Hersteller in der Schweiz und verkaufte 1885 den ersten hydraulischen Widder. 1923 entwickelte er die „Selbstbelüftung“, die die regelmäßige Auffüllung des Luftpolsters automatisierte und so einen wartungsfreien Betrieb über Jahrzehnte ermöglichte.
Moderne Entwicklungen
Nach Mitte des 20. Jahrhunderts ging das Interesse am Hydraulischen Widder zurück, da elektrische Pumpen weit verbreitet wurden. Seit den 1990er-Jahren hat die Schweizer Firma Schlumpf Innovations den selbstbelüfteten Hydraulischen Widder weiterentwickelt. Dank Verbesserungen in der Ventiltechnik und Taktung sowie der stabilen Einbettung der Triebleitung in Beton können moderne Widder Förderhöhen bis zu 500 m und Förderleistungen bis zu 15.000 l pro Tag erreichen.
Wirkungsgrad des Hydraulischen Widders
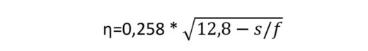
In Deutschland hat sich der Techniker und Hochschullehrer Johann Albert Eytelwein intensiv mit dem sogenannten Stoßheber beschäftigt. Eytelwein entwickelte eine Formel zur Berechnung des Wirkungsgrads eines Hydraulischen Widders:

Dabei steht „s“ für die Steighöhe und „f“ für die Fallhöhe. Diese Formel zeigt, dass der Wirkungsgrad maßgeblich vom Verhältnis der Steighöhe zur Fallhöhe abhängt.
Beispielberechnung
Nehmen wir an, die Steighöhe beträgt 10 m und die Fallhöhe 2,5 m. Das Verhältnis s/f beträgt somit 4. Setzen wir diesen Wert in die Formel ein, ergibt sich:

Der Wirkungsgrad beträgt somit in diesem Beispiel etwa 77 %.
Einflussfaktoren auf den Wirkungsgrad
Das Verhältnis von Steighöhe zu Fallhöhe ist der entscheidende Parameter. Je größer die Steighöhe im Vergleich zur Fallhöhe ist, desto geringer wird der Wirkungsgrad. Wenn die Steighöhe 12,8-mal so groß wie die Fallhöhe ist, sinkt der Wirkungsgrad auf null.
Die Qualität des Wassers und der Wartungszustand des Widders beeinflussen ebenfalls den Wirkungsgrad. Verschmutztes Wasser kann die Ventile blockieren und den Betrieb stören. Regelmäßige Wartung stellt sicher, dass die Ventile und der Windkessel optimal funktionieren.
Moderne Widder verwenden oft PVC-Schläuche und verbesserte Ventiltechniken, um den Wirkungsgrad zu steigern. Diese Materialien sind leichter, weniger anfällig für Korrosion und ermöglichen eine präzisere Steuerung der Wasserströme.
Optimierung des Hydraulischen Widders
Eine Erhöhung der Fallhöhe verbessert den Wirkungsgrad, da mehr kinetische Energie zur Verfügung steht. Dies kann durch den Einsatz längerer Antriebsrohre oder durch eine geeignete Platzierung der Quelle erreicht werden.
Der Einsatz von hochwertigen Materialien, die weniger Reibungsverluste verursachen, kann den Wirkungsgrad verbessern. Dies umfasst sowohl die Rohre als auch die Ventile.
Regelmäßige Wartung
Regelmäßige Wartung und Reinigung der Ventile sowie des Windkessels sind entscheidend, um eine hohe Effizienz zu gewährleisten. Verstopfungen und Ablagerungen können den Wirkungsgrad erheblich reduzieren.
Vergleich mit anderen Berechnungsmethoden
Einige amerikanische Quellen verwenden eine einfachere Berechnungsmethode für den Wirkungsgrad. Hier bleibt der Wirkungsgrad konstant bei 60 %, unabhängig vom Verhältnis der Steighöhe zur Fallhöhe. Diese Methode berücksichtigt lediglich die Schüttleistung der Quelle und nicht die spezifischen Verhältnisse der Höhenunterschiede.
Die amerikanische Methode mag auf den ersten Blick simpler erscheinen, doch sie vernachlässigt wichtige physikalische Gegebenheiten. Ein konstanter Wirkungsgrad von 60 % bei beliebigen Verhältnissen ist in der Praxis unrealistisch. Tatsächlich variiert der Wirkungsgrad je nach spezifischer Installation und den gegebenen Höhenverhältnissen.
Vor- und Nachteile des Hydraulischen Widders
Schauen wir uns nun einige Vor- und Nachteile des Hydraulischen Widders an:
Vorteile
- Energieeffizienz: Der Hydraulische Widder nutzt die natürliche Schwerkraft und benötigt keine externe Energiequelle. Dies macht ihn besonders umweltfreundlich und kostensparend.
- Zuverlässigkeit: Mit einer simplen Konstruktion und wenigen beweglichen Teilen kann der Widder über viele Jahre hinweg kontinuierlich arbeiten, ohne dass häufige Wartungen notwendig sind.
- Geringe Betriebskosten: Da keine Betriebskosten für Energie anfallen und die Wartung minimal ist, sind die langfristigen Kosten sehr gering.
- Umweltfreundlichkeit: Der Betrieb des Widders verursacht keine Emissionen, was ihn zu einer umweltfreundlichen Lösung macht.
- Einfache Konstruktion und Wartung: Die einfache Bauweise ermöglicht einfache und kostengünstige Wartungen.
- Vielfältige Anwendungsmöglichkeiten: Der Widder kann in einer Vielzahl von Anwendungen eingesetzt werden, insbesondere in abgelegenen oder stromlosen Gebieten, wo andere Pumpensysteme nicht praktikabel sind.
Nachteile
- Begrenzte Fördermenge: Nur etwa 30 % des Wassers, das den Widder erreicht, wird tatsächlich gefördert. Dies begrenzt die Gesamtmenge des geförderten Wassers.
- Abhängigkeit von der Fallhöhe: Der Wirkungsgrad des Widders hängt stark vom Verhältnis der Steighöhe zur Fallhöhe ab. Bei ungünstigen Verhältnissen sinkt die Effizienz erheblich.
- Begrenzter Einsatzbereich: Der Widder ist nur dort sinnvoll einsetzbar, wo ausreichend Gefälle und Wasser vorhanden sind.
- Empfindlichkeit gegenüber Verstopfungen: Verschmutzungen und Ablagerungen im Wasser können die Ventile blockieren und den Betrieb stören.
- Kann nur am tiefsten Punkt eines Systems stehen: Die Widder-Pumpe muss den zum Antrieb nötigen Wasseranteil wieder loswerden, das Wasser muss abfließen können.
Praktische Anwendungsbereiche des Hydraulischen Widders
In der Landwirtschaft kommt der Hydraulische Widder häufig zum Einsatz, um Wasser aus Bächen zu höhergelegenen Feldern zu pumpen. Dies spart Energiekosten und ermöglicht eine kontinuierliche Wasserversorgung.
In abgelegenen Gebieten ohne Zugang zu elektrischen Pumpen kann der Hydraulische Widder eine zuverlässige Trinkwasserversorgung sicherstellen. Seine einfache Konstruktion und die geringen Wartungskosten machen ihn ideal für diese Anwendung.
Historisch wurde der Hydraulische Widder in vielen ländlichen Gebieten Europas und Amerikas eingesetzt. Moderne Versionen dieser Technologie finden heute noch Anwendung, insbesondere in Entwicklungsländern oder in nachhaltigen Projekten.
Anwendungsbeispiele für Hydraulische Widder
Hydraulische Widder sind weltweit im Einsatz, um Wasser effizient und ohne den Einsatz von Elektrizität zu fördern. Hier sind fünf Beispiele:
- Burg Hohenzollern, Deutschland
Die Burg Hohenzollern nutzt hydraulische Widder, um Wasser von einer Quelle mit 86 m Höhenunterschied zur Burg zu pumpen. Dies ist besonders bemerkenswert, da die exponierte Lage der Burg eine zuverlässige Wasserversorgung erfordert. Die tägliche Fördermenge hängt von der Einstellung der Widder ab und kann bis zu 28.000 l betragen.
- Sennhütten, Schweiz
In den Sennhütten im Kästhal, Aargau, ist seit über 70 Jahren ein hydraulischer Widder in Betrieb. Diese Anlage speist ein altes Bauerngehöft und fördert Wasser über eine Höhe von 70 m. Die Langlebigkeit und Zuverlässigkeit dieser Anlage zeigen die Robustheit dieser Technologie.
- Matamba-Solo, Demokratische Republik Kongo
In Matamba-Solo wird Wasser 220 Höhenmeter ins Dorf gepumpt. Diese Installation ist ein Beispiel für die Anwendung von hydraulischen Widdern in entlegenen und infrastrukturschwachen Gebieten, wo sie eine entscheidende Rolle in der Wasserversorgung der Gemeinde spielen.
- Freilichtmuseum Molfsee, Deutschland
Im Freilichtmuseum Molfsee bei Kiel steht ein hydraulischer Widder, der historisch wertvoll ist. Diese Anlage zeigt die Technologie in einem musealen Kontext und ermöglicht es Besuchern, die Funktionsweise und Bedeutung des Widders zu verstehen.
- Alpe Briedler, Hohenems, Österreich
Die Alpe Briedler in Hohenems verwendet einen hydraulischen Widder zur Wasserversorgung. Der Widder, auch als „Klockbrunnen“ bekannt, steht am Forstweg zwischen Gsohl-Älpele und Fluhereck und versorgt die Almhütten zuverlässig mit Wasser.
Mehr Informationen und weitere Beispiele finden Sie auf der Wikipedia-Seite zu hydraulischen Widdern.
Ein Beitrag von: