Dimensionierung von Luftleitungen bei SFP-Wert- bzw. Druckverlustvorgaben
Bei der Dimensionierung von Luftleitungen dient die Strömungsgeschwindigkeit üblicherweise als zentrale Betrachtungsgröße. Aus der Leitungsnetzberechnung gehen ferner die zu erwartenden Druckverluste hervor, auf deren Grundlage schließlich Bewertungskennzahlen wie z. B. die spezifische Leistungsaufnahme der Ventilatoren (SFP-Werte) ermittelt werden können. Stellt sich dabei heraus, dass die rechtlich-normativen Effizienzvorgaben nicht erreicht werden, sind entsprechende Korrekturen an den Leitungs-Dimensionen erforderlich. Nachfolgend wird daher ein Dimensionierungs-Verfahren vorgestellt, das anstelle der geschwindigkeits-orientierten Methodik auf der Vorgabe von maximalen SFP-Werten oder Gesamtdruckverlusten beruht.
Bild: panthermedia.net/Artinum Prekmoung
Gemäß der seit dem 01.01.2016 wirksamen Fassung der Verordnung über energiesparenden Wärmeschutz und energiesparende Anlagentechnik bei Gebäuden „EnEV 2016“ wird die spezifische Leistungsaufnahme von Ventilatoren in raumlufttechnischen Anlagen mit einem Auslegungsvolumenstrom von mehr als 4 000 m³/h auf die sog. SFP-Kategorie 4 begrenzt, welche die DIN EN 13779 [1] mit einem Wert von 2 000 Ws/m³ quantifiziert.
In Abhängigkeit des Gesamtwirkungsgrades einer Ventilatoreinheit ist dies mit einer Druckverlust-Vorgabe gleichzusetzten:
(1)
mit
PSFP spezifische Ventilatorleistung
Pel elektr. Wirkleistung des Ventilators
V Nennluftvolumenstrom
∆p Gesamtdruckerhöhung
hges Gesamtwirkungsgrad der Ventilatoreinheit
Ohne eventuelle Vergünstigungen durch den Einsatz besonderer Bauteile (HEPA-Filter o.Ä.) resultiert damit für einen Ventilator-Gesamtwirkungsgrad von z. B. 65 % ein maximaler Gesamtdruckverlust von 1 300 Pa im Luftleitungsnetz inkl. RLT-Gerät. Abgesehen von konstruktiven und ökonomischen Anforderungen (vgl. z. B. [2]) stellen SFP-Werte die einzigen verbindlichen Dimensionierungs-Vorgaben für Luftleitungen dar. Es erscheint daher naheliegend, bei der Bestimmung des Strömungsquerschnitts nach einer druckverlust-orientierten Methodik vorzu-gehen.
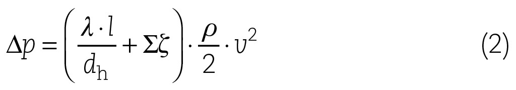
Herleitung eines minimalen Durchmessers
In den für technische Anwendungen relevanten turbulenten Rohrströmungen verhält sich der Druckverlust durch Reibung nach Weisbach proportional zum Kehrwert des Durchmessers und zum Quadrat der Strömungsgeschwindigkeit. Mit einer Zusammenfassung der sonstigen Druckverluste durch Einzelwiderstände als Druckverlustkoeffizienten z ergibt sich der Gesamtdruckverlust zu:
(2)
mit
∆p Druckverlust
l Rohrreibungszahl
l Leitungslänge
dh hydraulischer Durchmesser
r Fluiddichte
v Strömungsgeschwindigkeit
z Druckverlustkoeffizienten der Einzelwiderstände
Zur Bestimmung der Rohrreibungszahl l existieren neben der allgemeinen Bestimmungsgleichung von Colebrook und White auch spezielle, explizite Näherungsansätze. Für die in der Raumlufttechnik üblichen hydraulisch glatten Leitungen (Re ùk/dh < 65) sind diesfür 2 300 < Re < 105:
l = 0,3164 ù Re-0,25 (3)
mit
l Rohrreibungszahl
Re Reynolds-Zahl
nach Blasius sowie für 105 < Re < 5ù106:
l = 0,0032 + 0,221ù Re-0,237 (4)
nach Nikuradse.
Durch Ersatz der Reynolds-Zahl mit den für Rundrohre relevanten Zusammenhängen und Einsetzen der empirischen Näherungsansätze zur Bestimmung der Rohrreibungszahl in Gl. (2) ergibt sich für den jeweiligen Strömungsbereich eine einzelne implizite Bestimmungsgleichung:
für hydraulisch glatte Rohre und
2 300 < Re < 105:
mit
dmin minimaler Rohrdurchmesser
V Volumenstrom
l Leitungslänge
r Fluiddichte
∆pmax max. zulässiger Druckverlust
n kinematische Viskosität
z Druckverlustkoeffizienten der Einzelwider stände
für hydraulisch glatte Rohre und
105 < Re < 5 ù106:
Sie erlaubt es unter der Vorgabe von Volumenstrom, Leitungslänge und der Summe der Druckverlustkoeffizienten aus Einzelwiderständen einen minimal erforderlichen Rundrohr-Durchmesser für einen zulässigen Maximaldruckverlust zu ermitteln.
Anwendungsbeispiel
Die Anwendung der dargestellten Bestimmungsgleichungen für einen minimalen Rundrohr-Durchmesser erfolgt abschnittsweise, wobei ein Abschnitt durch eine konstante Luftmenge charakterisiert wird.
Beispielhaft soll der Zuluftstrang eines RLT-Systems für die SFP-Kategorie 2 dimensioniert werden. Bei einer maximalen spezifischen Leistungsaufnahme von 750 Ws/m³ (vgl. [1]) und einem zugrunde gelegten Ventilator-Gesamtwirkungsgrad von 65 % ergibt sich der zulässige Gesamtdruckverlust dabei mit 488 Pa. Unter der Annahme eines Druckverlusts von 300 Pa zur Luftkonditionierung im RLT-Gerät verbleibt für den dimensionierungs-relevanten sog. ungünstigsten Strang des Zuluft-Leitungsnetzes ein Maximaldruckverlust von 188 Pa. Den schematischen Aufbau des RLT-Systems sowie die relevanten Auslegungsdaten der Netzabschnitte zeigt das nachfolgende Bild.
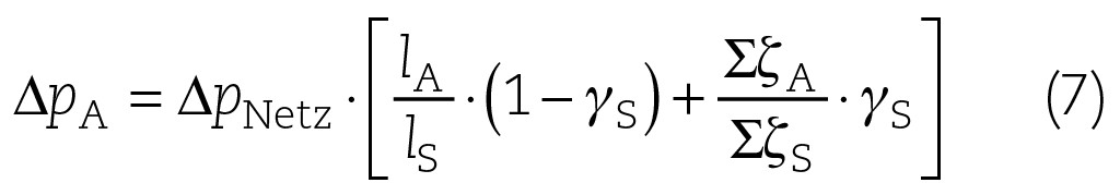
Auf Grundlage der Längen- und Einzelwiderstands-Anteile der Netzabschnitte im Verhältnis zum gesamten ungünstigsten Strang erfolgt eine Aufteilung des zulässigen Maximaldruckverlusts im Leitungsnetz auf die jeweiligen Abschnitte:
(7)
mit
∆pA zul. Druckverlust im Netzabschnitt
∆pNetz max. Druckverlust im Netz
lA Länge des Netzabschnitts
lS Länge des ungünstigsten Stranges
gS Formstückanteil im ungünstigsten Strang
zA Druckverlustkoeffizienten der Einzelwiderstände im Netzabschnitt
zS Druckverlustkoeffizienten der Einzelwiderstände im ungünstigsten Strang
Soll der implizite Zusammenhang zwischen zulässigem Druckverlust und minimal erforderlichem Durchmesser der Gln. (5) und (6) grafisch ermittelt werden, bietet sich ferner die Zusammenfassung der relevanten Netzabschnitts-Parameter in einer Leitungsdruckverlust-Charakteristik W an:
(8)
mit
WA Leitungsdruckverlust-Charakteristik im Netzabschnitt
V2A Volumenstrom im Netzabschnitt
lA Länge des Netzabschnitts
∆pA zul. Druckverlust im Netzabschnitt
Die folgende Tabelle zeigt die resultierenden Auslegungsparameter für die Netzabschnitte des betrachteten RLT-Systems bei einem angenommenen Formstückanteil von 80 %.
Dimensionierung
Die folgenden Bilder zeigen den Zusammenhang zwischen der Leitungsdruckverlust-Charakteristik und dem minimal erforderlichen Leitungsdurchmesser eines Netzabschnitts für die verschiedenen Strömungsbereiche.
Für das betrachtete Beispiel-RLT-System ergeben sich die minimalen Leitungsdurchmesser der Netzabschnitte entsprechend diese Tabelle.
Gleichwertiger Durchmesser
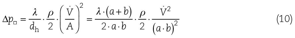
Sollen anstelle von Rundrohren Luftleitungen mit rechteckigem Querschnitt zum Einsatz kommen, wird es erforderlich, den gefundenen minimalen Rundrohr-Durchmesser in einen Rechteckkanal mit gleichem Druckverlust bei gleicher Luftmenge umzurechnen. Hierfür bietet sich der sog. gleichwertige Durchmesser an.
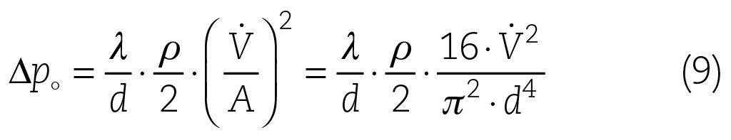
Dazu wird der Reibungsdruckverlust aus Gl. (2) um die geometrischen Eigenschaften des Rundrohres bzw. Rechteckkanals erweitert, wie in den Gln. (9) und (10) dargestellt (vgl. z.B. [3]).
(9)
mit
∆po spez. Druckverlust im Rundrohr
l Rohrreibungszahl
d Rohrdurchmesser
r Fluiddichte
Volumenstrom
A Querschnittsfläche des Rundrohres
(10)
mit
∆p? spez. Druckverlust im Rechteckkanal
l Rohrreibungszahl
dh hydraulischer Durchmesser
r Fluiddichte
V Volumenstrom
A Querschnittsfläche des Rechteckkanals
a Höhe des Rechteckkanals
b Breite des Rechteckkanals
Durch Gleichsetzen und Auflösen nach dem Durchmesser folgt:
(11)
mit
dgl gleichwertiger Durchmesser
a Höhe des Rechteckkanals
b Breite des Rechteckkanals
Im Vergleich dazu beschreibt der hydraulische Durchmesser das Rundrohr-Äquivalent eines Rechteckkanals, das dieselbe Strömungsgeschwindigkeit und damit denselben Druckverlust, jedoch einen abweichenden Volumenstrom, aufweist. Eine Übersicht der Zusammenhänge ist am Beispiel des betrachteten Netzabschnitts 1 in Bild folgendem dargestellt.
Gl. (11) kann unter Berücksichtigung des angestrebten Seitenverhältnisses a:b = 1:f im Rechteckkanal auch geschrieben werden als:
(12)
mit
a Höhe des Rechteckkanals
b Breite des Rechteckkanals
f Seitenverhältnis (a:b = 1:f)
dmin minimaler Durchmesser
Für das betrachtete Beispiel-RLT-System zeigt die Tabelle die resultierenden Dimensionierungs-Endergebnisse.
Wie sich zeigt, liegen die vorhandenen Druckverluste im Leitungsnetz mit 155 Pa unterhalb der als Maximalwert vorausgesetzten 188 Pa. Die angestrebte SFP-Kategorie 2 kann somit gut eingehalten werden.
Zusammenfassung
Sollen bei der Planung von raumlufttechnischen Systemen strömungsmechanische Effizienz-Anforderungen berücksichtigt werden, so bietet sich bei der Dimensionierung des Luftleitungsnetzes eine druckverlust-orientierte anstelle einer geschwindigkeits-orientierten Vorgehensweise an.
Vorgestellt wird eine Methodik zur Bestimmung des minimal erforderlichen Rundrohr-Durchmessers für die gegebenen Dimensionierungs-Parameter: Volumenstrom, zulässiger Maximaldruckverlust, Leitungslänge sowie Summe der Druckverlustkoeffizienten aus Einzelwiderständen. Dabei kann eine Umrechnung des gefundenen Rundrohres in einen Rechteckkanal mit identischem Volumenstrom und annähernd gleichem Druckverlust mit Hilfe des sog. gleichwertigen Durchmessers geschehen.
Als Ergebnis der druckverlust-orientierten Vorgehensweise stellt sich eine anforderungsgerechte Luftleitungsgeometrie ein. Dabei gilt es zu berücksichtigen, dass sich der erforderliche Strömungsquerschnitt bei einer Dimensionierung hin zu geringeren Druckverlusten aufgrund des quadratischen Zusammenhangs nur unterproportional erhöht. So bewirkt z.B. eine Vergrößerung des Strömungsquerschnitts um 25 % im Rundrohr bereits eine Halbierung der Druckverluste. Da sich die aerodynamische Förderleistung mit zunehmendem Strömungsquerschnitt sogar in dritter Potenz reduziert, werden erhöhte Materialkosten in der Regel durch Einsparungen im Bereich der Antriebsenergie egalisiert (vgl. z.B. [2]).
Danksagung
Die dargestellten Untersuchungen entstanden im Rahmen des Forschungsvorhabens EnEff:Luft (Energieeffiziente Luftkonditionierung und Kanalnetzauslegung für Neu- und Bestandsgebäude) am Hermann-Rietschel-Institut der TU Berlin, welches dankenswerter Weise durch das Bundesministerium für Wirtschaft und Energie (BMWi) unter dem Kennzeichen 03ET1223A gefördert wird.
Literatur:
[1] DIN EN 13779: Lüftung von Nichtwohngebäuden – Allgemeine Grundlagen und Anforderungen von Lüftungs- und Klimaanlagen und Raumkühlsysteme. Ausgabe Sep. 2007.
[2] Kriegel, M.; Schaub, M.: Dimensionierungsfaktoren für Luftleitungen. Ökonomische und energetische Einflüsse sowie Möglichkeiten zur SFP-orientierten Auslegung. In: HLH Bd. 66 (2015), Heft 8, S. 33–36.
[3] Arbeitskreis der Dozenten für Klimatechnik: Lehrbuch der Klimatechnik – Band 1: Grundlagen. 3. Auflage. Karlsruhe: Verlag C. F. Müller, 1980.
[4] DIN EN 1505: Lüftung von Gebäuden – Luftleitungen und Formstücke aus Blech mit Rechteckquerschnitt – Maße. Ausgabe Feb. 1998.
[5] DIN EN 1506: Lüftung von Gebäuden – Luftleitungen und Formstücke aus Blech mit rundem Querschnitt – Maße. Ausgabe Sep. 2007.
Michael Schaub, M.Sc., Jahrgang 1990, Studium Gebäudeklimatik an der Hochschule Biberach, seit 2015 Wissenschaftlicher Mitarbeiter am HRI.Prof. Dr.-Ing. Martin Kriegel, Jahrgang 1975, seit 2011 Leiter des Hermann-Rietschel-Instituts an der TU Berlin.















